PIXNET Logo登入

股市一條龍 量能分析系統

跳到主文

這裡有我個人自創的指標股市分析圖可以預測走勢, 提供給大家參考.

部落格全站分類:財經政論

  • 相簿
  • 部落格
  • 留言
  • 名片
  • 3月 20 週三 201321:37
  • 股市走勢圖20130320反彈無力續下殺

長線看法中空轉長空




外資現貨賣超約136.7億



期貨未平倉量空單水位轉為多單約1900多口


今日大盤開低後平盤下振盪殺尾盤


3月份台指今日結算


盤中平倉3月份7800賣權1口


並加碼放空4月份小指1口


其餘空單續抱




藍色虛線為指標


藍色實線為指標的移動平均線(週期2)




粉色實線為5(日,週,月)平均線




目前週線跌破指標和5週均線




月線跌破指標但站上5月均線



日線跌破指標和5日均線


大盤日線



大盤週線



大盤月線



台股期貨未平倉



台指選擇權未平倉




三大法人現貨買賣超




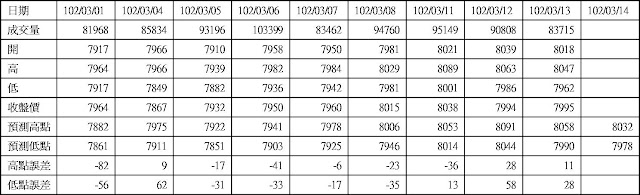
大盤高低點振盪預測




高低點振盪預測+/-誤差大於75點或與前日變化大表示進入盤整或新趨勢


期貨對帳單



期貨沖銷明細



期貨庫存





(繼續閱讀...)
文章標籤

enthrone 發表在 痞客邦 留言(0) 人氣(0)

  • 個人分類:股市走勢圖
▲top
  • 3月 20 週三 201302:05
  • 股市走勢圖20130319賽國引爆歐債算不上大利空

長線看法中空轉長空




外資現貨賣超約67.6億



期貨未平倉量空單水位降至500多口


今日大盤開高後水平振盪至收盤小漲


賽國引爆歐債算不上大利空


反彈無力才是問題


手中空單續抱




藍色虛線為指標


藍色實線為指標的移動平均線(週期2)




粉色實線為5(日,週,月)平均線




目前週線跌破指標和5週均線




月線站上指標和5月均線



日線跌破指標和5日均線


大盤日線



大盤週線



大盤月線



台股期貨未平倉



台指選擇權未平倉




三大法人現貨買賣超




大盤高低點振盪預測




高低點振盪預測+/-誤差大於75點或與前日變化大表示進入盤整或新趨勢




(繼續閱讀...)
文章標籤

enthrone 發表在 痞客邦 留言(0) 人氣(3)

  • 個人分類:股市走勢圖
▲top
  • 3月 18 週一 201322:28
  • 股市走勢圖20130318大盤越殺越兇

長線看法中空轉長空




外資現貨賣超約80.9億



期貨未平倉量空單水位上升至900多口


今日大盤開低後一路殺至尾盤


成交量看起來不大


但越殺越兇


手中空單續抱




藍色虛線為指標


藍色實線為指標的移動平均線(週期2)




粉色實線為5(日,週,月)平均線




目前週線跌破指標和5週均線




月線跌破指標但站上5月均線



日線跌破指標和5日均線


大盤日線



大盤週線



大盤月線



台股期貨未平倉



台指選擇權未平倉




三大法人現貨買賣超




大盤高低點振盪預測




高低點振盪預測+/-誤差大於75點或與前日變化大表示進入盤整或新趨勢




(繼續閱讀...)
文章標籤

enthrone 發表在 痞客邦 留言(0) 人氣(2)

  • 個人分類:股市走勢圖
▲top
  • 3月 17 週日 201320:11
  • 股市走勢圖20130315殺盤開始出量

長線看法中空轉長空




外資現貨轉為賣超約41.6億



期貨未平倉量多單水位轉為空單約300多口


今日大盤開高後隨即下殺


之後在平盤上振盪收盤再殺尾盤


殺盤開始出量


手中空單續抱




藍色虛線為指標


藍色實線為指標的移動平均線(週期2)




粉色實線為5(日,週,月)平均線




目前週線跌破指標和5週均線




月線站上指標和5月均線



日線跌破指標和5日均線


大盤日線


 



大盤週線



大盤月線



台股期貨未平倉



台指選擇權未平倉




三大法人現貨買賣超




大盤高低點振盪預測




高低點振盪預測+/-誤差大於75點或與前日變化大表示進入盤整或新趨勢




(繼續閱讀...)
文章標籤

enthrone 發表在 痞客邦 留言(0) 人氣(2)

  • 個人分類:股市走勢圖
▲top
  • 3月 14 週四 201323:42
  • 股市走勢圖20130314大盤開始有危險

長線看法中空轉長空




外資現貨轉為賣超約47.1億



期貨未平倉量多單水位急降至2400多口


今日大盤開盤隨即下殺


之後一直在盤下振盪至收盤


跌不多也沒什麼量


但是大盤開始有危險了


手中空單續抱




藍色虛線為指標


藍色實線為指標的移動平均線(週期2)




粉色實線為5(日,週,月)平均線




目前週線跌破指標和5週均線




月線站上指標和5月均線



日線跌破指標和5日均線


大盤日線



大盤週線



大盤月線



台股期貨未平倉



台指選擇權未平倉




三大法人現貨買賣超




大盤高低點振盪預測




高低點振盪預測+/-誤差大於75點或與前日變化大表示進入盤整或新趨勢




(繼續閱讀...)
文章標籤

enthrone 發表在 痞客邦 留言(0) 人氣(0)

  • 個人分類:股市走勢圖
▲top
  • 3月 13 週三 201321:27
  • 股市走勢圖20130313金融股暫時止穩撐住大盤

長線看法中空轉長空




外資現貨轉為賣超約8.99億



期貨未平倉量多單水位降至6100多口


今日大盤開高攻高後


一路振盪走低跌至平盤下


盤中拉回至平盤附近


大盤今日延續債市巨額虧損的影響續跌


所幸金融股今日暫時止穩撐住大盤


"暫時"這兩個字有跟沒有差很多


手中空單續抱




藍色虛線為指標


藍色實線為指標的移動平均線(週期2)




粉色實線為5(日,週,月)平均線




目前週線跌破指標但站上5週均線




月線站上指標和5月均線



日線跌破指標和5日均線


大盤日線



大盤週線



大盤月線



台股期貨未平倉



台指選擇權未平倉




三大法人現貨買賣超




大盤高低點振盪預測




高低點振盪預測+/-誤差大於75點或與前日變化大表示進入盤整或新趨勢




(繼續閱讀...)
文章標籤

enthrone 發表在 痞客邦 留言(0) 人氣(3)

  • 個人分類:股市走勢圖
▲top
  • 3月 12 週二 201323:19
  • 股市走勢圖20130312金融股因債市崩盤的影響大跌

長線看法中空轉長空




外資現貨轉為賣超約3.86億



期貨未平倉量多單水位降至7600多口


今日大盤開小高後


一路振盪走低


金融股因債市崩盤的影響大跌


因而拖累整個大盤


手中空單續抱




藍色虛線為指標


藍色實線為指標的移動平均線(週期2)




粉色實線為5(日,週,月)平均線




目前週線跌破指標但站上5週均線




月線站上指標和5月均線



日線跌破指標但站上5日均線


大盤日線



大盤週線



大盤月線



台股期貨未平倉



台指選擇權未平倉




三大法人現貨買賣超




大盤高低點振盪預測




高低點振盪預測+/-誤差大於75點或與前日變化大表示進入盤整或新趨勢




(繼續閱讀...)
文章標籤

enthrone 發表在 痞客邦 留言(0) 人氣(0)

  • 個人分類:股市走勢圖
▲top
  • 3月 11 週一 201322:33
  • 股市走勢圖20130311八千點壓力不小慎防拉回

長線看法中空轉長空




外資現貨買超約87.1億



期貨未平倉量多單水位降至8000多口


今日大盤一路走高創新高後拉回小漲


八千點壓力不小慎防拉回


手中空單續抱




藍色虛線為指標


藍色實線為指標的移動平均線(週期2)




粉色實線為5(日,週,月)平均線




目前週線站上指標和5週均線




月線站上指標和5月均線



日線站上指標和5日均線


大盤日線



大盤週線



大盤月線



台股期貨未平倉



台指選擇權未平倉




三大法人現貨買賣超




大盤高低點振盪預測




高低點振盪預測+/-誤差大於75點或與前日變化大表示進入盤整或新趨勢




(繼續閱讀...)
文章標籤

enthrone 發表在 痞客邦 留言(0) 人氣(0)

  • 個人分類:股市走勢圖
▲top
  • 3月 11 週一 201300:55
  • 股市走勢圖20130308金融拱大盤過八千

長線看法中空轉長空




外資現貨買超約40.1億



期貨未平倉量多單水位上升至10000多口


今日大盤開高走高


金融硬將大盤拱上八千


手中空單續抱




藍色虛線為指標


藍色實線為指標的移動平均線(週期2)




粉色實線為5(日,週,月)平均線




目前週線站上指標和5週均線




月線站上指標和5月均線



日線站上指標和5日均線


大盤日線



大盤週線



大盤月線



台股期貨未平倉



台指選擇權未平倉




三大法人現貨買賣超




大盤高低點振盪預測




高低點振盪預測+/-誤差大於75點或與前日變化大表示進入盤整或新趨勢




(繼續閱讀...)
文章標籤

enthrone 發表在 痞客邦 留言(0) 人氣(0)

  • 個人分類:股市走勢圖
▲top
  • 3月 07 週四 201322:34
  • 股市走勢圖20130307金融發揮撐盤角色

長線看法中空轉長空




外資現貨買超約9.7億



期貨未平倉量多單水位上升至3800多口


今日大盤開高振盪走低收平盤附近小漲


金融撐住大盤


很明顯其他很多股票再跌


小型股活蹦亂跳


非金融權值股漲不太動


要重回八千有得等了


手中空單續抱




藍色虛線為指標


藍色實線為指標的移動平均線(週期2)




粉色實線為5(日,週,月)平均線




目前週線跌破指標但站上5週均線




月線站上指標和5月均線



日線站上指標和5日均線


大盤日線



大盤週線



大盤月線



台股期貨未平倉



台指選擇權未平倉




三大法人現貨買賣超




大盤高低點振盪預測




高低點振盪預測+/-誤差大於75點或與前日變化大表示進入盤整或新趨勢




(繼續閱讀...)
文章標籤

enthrone 發表在 痞客邦 留言(0) 人氣(1)

  • 個人分類:股市走勢圖
▲top
«1...24252658»

個人資訊

enthrone
暱稱:
enthrone
分類:
財經政論
好友:
累積中
地區:

文章分類

  • 指標使用方法 (1)
  • 影分身 (1)
  • 股市走勢圖 (576)
  • 未分類文章 (1)

最新文章

  • 股市走勢圖20140421九千大關近在咫尺
  • 股市走勢圖20140418九千大關近在咫尺
  • 股市走勢圖20140417九千大關近在咫尺
  • 股市走勢圖20140416期指結算後外資多單水位依然偏高
  • 股市走勢圖20140414盤整至少到期貨結算
  • 股市走勢圖20140327又進入壓力區
  • 股市走勢圖20140326又進入壓力區
  • 股市走勢圖20140325修正完畢大盤止穩
  • 股市走勢圖20140324政府護盤支撐
  • 股市走勢圖20140321弱勢盤整

熱門文章

  • (5)股市走勢圖20111104
  • (0)股市走勢圖20111107
  • (1)股市走勢圖20111108不宜輕舉妄動的盤
  • (2)股市走勢圖20111109空方小勝
  • (1)股市走勢圖20111110短線要再翻多有難度
  • (9)股市走勢圖20111111保留實力為宜
  • (1)股市走勢圖20111114短多但接近11月份期指結算變數多
  • (4)股市走勢圖20111115繼續盤整還是風雨前的寧靜
  • (7)股市走勢圖20111116多頭有點危險
  • (6)股市走勢圖20111117多頭仍不夠強

文章精選

文章搜尋

動態訂閱

誰來我家

參觀人氣

  • 本日人氣:
  • 累積人氣: