長線看法中空轉長空

外資現貨賣超約67.6億

期貨未平倉量空單水位降至500多口

今日大盤開高後水平振盪至收盤小漲

賽國引爆歐債算不上大利空

反彈無力才是問題

手中空單續抱

藍色虛線為指標

藍色實線為指標的移動平均線(週期2)

粉色實線為5(日,週,月)平均線

目前週線跌破指標和5週均線

月線站上指標和5月均線

日線跌破指標和5日均線

大盤日線

大盤週線

大盤月線

台股期貨未平倉

台指選擇權未平倉

三大法人現貨買賣超

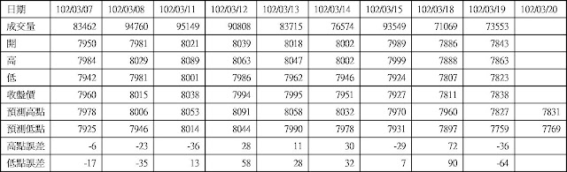
大盤高低點振盪預測

高低點振盪預測+/-誤差大於75點或與前日變化大表示進入盤整或新趨勢