PIXNET Logo登入

股市一條龍 量能分析系統

跳到主文

這裡有我個人自創的指標股市分析圖可以預測走勢, 提供給大家參考.

部落格全站分類:財經政論

  • 相簿
  • 部落格
  • 留言
  • 名片
  • 3月 06 週三 201323:29
  • 股市走勢圖20130306電子金融再度走弱拖累大盤

長線看法中空轉長空




外資現貨買超約21.8億



期貨未平倉量多單水位降為約3800多口


今日大盤開高走低收平盤附近小漲


電子金融再度走弱拖累大盤


手中空單續抱




藍色虛線為指標


藍色實線為指標的移動平均線(週期2)




粉色實線為5(日,週,月)平均線




目前週線跌破指標但站上5週均線




月線站上指標和5月均線



日線站上指標和5日均線


大盤日線



大盤週線



大盤月線



台股期貨未平倉



台指選擇權未平倉




三大法人現貨買賣超




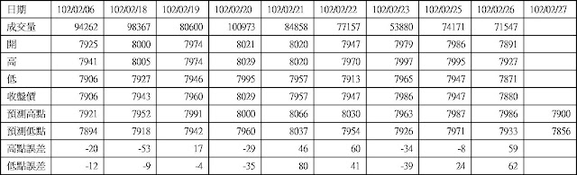
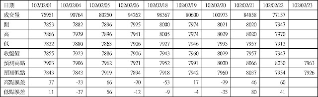
大盤高低點振盪預測




高低點振盪預測+/-誤差大於75點或與前日變化大表示進入盤整或新趨勢




(繼續閱讀...)
文章標籤

enthrone 發表在 痞客邦 留言(0) 人氣(1)

  • 個人分類:股市走勢圖
▲top
  • 3月 06 週三 201301:35
  • 股市走勢圖20130305電子金融轉強撐盤

長線看法中空轉長空




外資現貨轉為買超約33.2億



期貨未平倉量空單水位轉為多單約5400多口


今日大盤開高走高收高


電子金融轉強撐盤


手中空單續抱




藍色虛線為指標


藍色實線為指標的移動平均線(週期2)




粉色實線為5(日,週,月)平均線




目前週線跌破指標但站上5週均線




月線站上指標和5月均線



日線站上指標和5日均線


大盤日線



大盤週線



大盤月線



台股期貨未平倉



台指選擇權未平倉




三大法人現貨買賣超




大盤高低點振盪預測




高低點振盪預測+/-誤差大於75點或與前日變化大表示進入盤整或新趨勢




(繼續閱讀...)
文章標籤

enthrone 發表在 痞客邦 留言(0) 人氣(0)

  • 個人分類:股市走勢圖
▲top
  • 3月 04 週一 201323:04
  • 股市走勢圖20130304短線慣殺力道不小

長線看法中空轉長空




外資現貨轉為賣超約70.8億



期貨未平倉量多單水位轉為空單約600多口


今日大盤開低收低


反應大陸打房利空


一口氣跌破日線和週線


短線慣殺力道不小


盤中平倉3月份7900賣權1口


並空4月份小指1口


其餘空單續抱




藍色虛線為指標


藍色實線為指標的移動平均線(週期2)




粉色實線為5(日,週,月)平均線




目前週線跌破指標和5週均線




月線站上指標和5月均線



日線跌破指標和5日均線


大盤日線



大盤週線



大盤月線



台股期貨未平倉



台指選擇權未平倉




三大法人現貨買賣超




大盤高低點振盪預測




高低點振盪預測+/-誤差大於75點或與前日變化大表示進入盤整或新趨勢


期貨對帳單



期貨庫存





(繼續閱讀...)
文章標籤

enthrone 發表在 痞客邦 留言(0) 人氣(0)

  • 個人分類:股市走勢圖
▲top
  • 3月 03 週日 201321:10
  • 股市走勢圖20130301台股漲跌看金融臉色

長線看法中空轉長空




外資現貨買超約55.2億



期貨未平倉量多單水位降至4900多口


今日大盤開高後狹幅振盪收高


手中多空對鎖單續抱




藍色虛線為指標


藍色實線為指標的移動平均線(週期2)




粉色實線為5(日,週,月)平均線




目前週線站上指標和5週均線




月線站上指標和5月均線



日線站上指標和5日均線


大盤日線



大盤週線



大盤月線



台股期貨未平倉



台指選擇權未平倉




三大法人現貨買賣超




大盤高低點振盪預測




高低點振盪預測+/-誤差大於75點或與前日變化大表示進入盤整或新趨勢




(繼續閱讀...)
文章標籤

enthrone 發表在 痞客邦 留言(0) 人氣(1)

  • 個人分類:股市走勢圖
▲top
  • 2月 28 週四 201322:56
  • 股市走勢圖20130227台股漲跌看金融臉色

長線看法中空轉長空




外資現貨轉為買超約29億



期貨未平倉量多單水位降至5900多口


今日大盤平盤附近狹幅振盪小漲


金融電子轉強撐住大盤


盤中買進3月份7600賣權4口


並賣出3月份7900賣權1口


其餘空單續抱




藍色虛線為指標


藍色實線為指標的移動平均線(週期2)




粉色實線為5(日,週,月)平均線




目前週線跌破指標但站上5週均線




月線站上指標和5月均線



日線跌破指標和5日均線


大盤日線



大盤週線



大盤月線



台股期貨未平倉



台指選擇權未平倉




三大法人現貨買賣超




大盤高低點振盪預測




高低點振盪預測+/-誤差大於75點或與前日變化大表示進入盤整或新趨勢


期貨對帳單



期貨庫存





(繼續閱讀...)
文章標籤

enthrone 發表在 痞客邦 留言(0) 人氣(0)

  • 個人分類:股市走勢圖
▲top
  • 2月 26 週二 201323:54
  • 股市走勢圖20130226台股漲跌看金融臉色

長線看法中空轉長空




外資現貨賣超約35.9億



期貨未平倉量多單水位上升至6400多口


今日大盤向下跳空振盪收低


受歐美股市影響大跌


明日或許有反彈


但彈起來多單要避險或離場


手中空單續抱




藍色虛線為指標


藍色實線為指標的移動平均線(週期2)




粉色實線為5(日,週,月)平均線




目前週線跌破指標但站上5週均線




月線站上指標和5月均線



日線跌破指標和5日均線


大盤日線



大盤週線



大盤月線



台股期貨未平倉



台指選擇權未平倉




三大法人現貨買賣超




大盤高低點振盪預測




高低點振盪預測+/-誤差大於75點或與前日變化大表示進入盤整或新趨勢




(繼續閱讀...)
文章標籤

enthrone 發表在 痞客邦 留言(0) 人氣(0)

  • 個人分類:股市走勢圖
▲top
  • 2月 24 週日 201318:55
  • 股市走勢圖20130223金融助攻

長線看法中空轉長空




外資現貨轉為買超約6.4億



期貨未平倉量多單水位降至5600多口


今日大盤開高振盪收高


今日台股獨開盤交易


成交量如預期萎縮


手中空單續抱




藍色虛線為指標


藍色實線為指標的移動平均線(週期2)




粉色實線為5(日,週,月)平均線




目前週線站上指標和5週均線




月線站上指標和5月均線



日線跌破指標但站上5日均線


大盤日線



大盤週線



大盤月線



台股期貨未平倉



台指選擇權未平倉




三大法人現貨買賣超




大盤高低點振盪預測




高低點振盪預測+/-誤差大於75點或與前日變化大表示進入盤整或新趨勢




(繼續閱讀...)
文章標籤

enthrone 發表在 痞客邦 留言(0) 人氣(0)

  • 個人分類:股市走勢圖
▲top
  • 2月 22 週五 201322:43
  • 股市走勢圖20130222金融轉強撐住多頭

長線看法中空轉長空




外資現貨轉為賣超約8億



期貨未平倉量多單水位降至5900多口


今日大盤開盤下殺後


盤中拉起至尾盤收平盤附近


金融轉強撐住指數


明天星期六台股獨開盤交易


應該是不會有什麼成交量


盤中平倉3月份小指空單1口


其餘空單續抱




藍色虛線為指標


藍色實線為指標的移動平均線(週期2)




粉色實線為5(日,週,月)平均線




目前週線站上指標和5週均線




月線站上指標和5月均線



日線跌破指標和5日均線


大盤日線



大盤週線



大盤月線



台股期貨未平倉



台指選擇權未平倉




三大法人現貨買賣超




大盤高低點振盪預測




高低點振盪預測+/-誤差大於75點或與前日變化大表示進入盤整或新趨勢


期貨對帳單



期貨庫存





(繼續閱讀...)
文章標籤

enthrone 發表在 痞客邦 留言(0) 人氣(0)

  • 個人分類:股市走勢圖
▲top
  • 2月 21 週四 201323:31
  • 股市走勢圖20130221金融熄火多頭停止

長線看法中空轉長空




外資現貨買超約3.4億



期貨未平倉量多單水位降至6700多口


今日大盤開低收低


確定昨天金融主力在出貨


高低點振盪預測+/-誤差在大盤站上8000點後修正為85點


跌回8000點以下修正為75點


此後不再贅述


盤中空3月份小指1口


其餘空單續抱




藍色虛線為指標


藍色實線為指標的移動平均線(週期2)




粉色實線為5(日,週,月)平均線




目前週線站上指標和5週均線




月線站上指標和5月均線



日線跌破指標和5日均線


大盤日線



大盤週線



大盤月線



台股期貨未平倉



台指選擇權未平倉




三大法人現貨買賣超




大盤高低點振盪預測




高低點振盪預測+/-誤差大於75點或與前日變化大表示進入盤整或新趨勢


期貨對帳單



期貨庫存





(繼續閱讀...)
文章標籤

enthrone 發表在 痞客邦 留言(0) 人氣(0)

  • 個人分類:股市走勢圖
▲top
  • 2月 21 週四 201302:04
  • 股市走勢圖20130220金融是多頭火種

長線看法中空轉長空




外資現貨買超約61.4億



期貨未平倉量多單水位上升至7600多口


今日大盤開高振盪收高


台指結算前金融轉強


但金融現貨5分鐘線有出貨現象


換手成功的話可以續攻


週線937頸線附近仍有壓力待測


連續回測失敗就會有危險


高低點振盪預測+/-誤差在大盤站上8000點後修正為85點


手中空單續抱




藍色虛線為指標


藍色實線為指標的移動平均線(週期2)




粉色實線為5(日,週,月)平均線




目前週線站上指標和5週均線




月線站上指標和5月均線



日線站上指標和5日均線


大盤日線



大盤週線



大盤月線



台股期貨未平倉



台指選擇權未平倉




三大法人現貨買賣超




大盤高低點振盪預測




高低點振盪預測+/-誤差大於85點或與前日變化大表示進入盤整或新趨勢


期貨沖銷明細



期貨庫存





(繼續閱讀...)
文章標籤

enthrone 發表在 痞客邦 留言(0) 人氣(0)

  • 個人分類:股市走勢圖
▲top
«1...25262758»

個人資訊

enthrone
暱稱:
enthrone
分類:
財經政論
好友:
累積中
地區:

文章分類

  • 指標使用方法 (1)
  • 影分身 (1)
  • 股市走勢圖 (576)
  • 未分類文章 (1)

最新文章

  • 股市走勢圖20140421九千大關近在咫尺
  • 股市走勢圖20140418九千大關近在咫尺
  • 股市走勢圖20140417九千大關近在咫尺
  • 股市走勢圖20140416期指結算後外資多單水位依然偏高
  • 股市走勢圖20140414盤整至少到期貨結算
  • 股市走勢圖20140327又進入壓力區
  • 股市走勢圖20140326又進入壓力區
  • 股市走勢圖20140325修正完畢大盤止穩
  • 股市走勢圖20140324政府護盤支撐
  • 股市走勢圖20140321弱勢盤整

熱門文章

  • (5)股市走勢圖20111104
  • (0)股市走勢圖20111107
  • (1)股市走勢圖20111108不宜輕舉妄動的盤
  • (2)股市走勢圖20111109空方小勝
  • (1)股市走勢圖20111110短線要再翻多有難度
  • (9)股市走勢圖20111111保留實力為宜
  • (1)股市走勢圖20111114短多但接近11月份期指結算變數多
  • (4)股市走勢圖20111115繼續盤整還是風雨前的寧靜
  • (7)股市走勢圖20111116多頭有點危險
  • (6)股市走勢圖20111117多頭仍不夠強

文章精選

文章搜尋

動態訂閱

誰來我家

參觀人氣

  • 本日人氣:
  • 累積人氣: