PIXNET Logo登入

股市一條龍 量能分析系統

跳到主文

這裡有我個人自創的指標股市分析圖可以預測走勢, 提供給大家參考.

部落格全站分類:財經政論

  • 相簿
  • 部落格
  • 留言
  • 名片
  • 4月 09 週二 201306:12
  • 股市走勢圖20130408重空跌勢啟動

長線看法中空轉長空




外資現貨轉為賣超約54.5億



期貨未平倉量多單水位轉為空單約9100多口


今日大盤跳空開低重挫


成交量放大加重下殺力道


重空跌勢啟動


同時可能是長空的開始


盤中提前轉倉4月份小指空單2口至5月續空


另外平倉4月份7700賣權1口


手中空單續抱




藍色虛線為指標


藍色實線為指標的移動平均線(週期2)




粉色實線為5(日,週,月)平均線




目前週線跌破指標和5週均線




月線跌破指標和5月均線



日線跌破指標和5日均線


大盤日線



大盤週線



大盤月線



台股期貨未平倉



台指選擇權未平倉




三大法人現貨買賣超




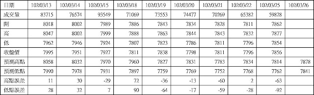
大盤高低點振盪預測




高低點振盪預測+/-誤差大於75點或與前日變化大表示進入盤整或新趨勢


期貨對帳單



期貨庫存





(繼續閱讀...)
文章標籤

enthrone 發表在 痞客邦 留言(0) 人氣(4)

  • 個人分類:股市走勢圖
▲top
  • 4月 07 週日 201323:13
  • 股市走勢圖20130403反彈無力續下殺

長線看法中空轉長空




外資現貨買超約37.1億



期貨未平倉量多單水位降至8300多口


今日大盤開高後平盤上振盪


成交量小幅放大但仍無力上攻


手中空單續抱




藍色虛線為指標


藍色實線為指標的移動平均線(週期2)




粉色實線為5(日,週,月)平均線




目前週線站上指標和5週均線




月線站上指標和5月均線



日線站上指標和5日均線


大盤日線



大盤週線



大盤月線



台股期貨未平倉



台指選擇權未平倉




三大法人現貨買賣超




大盤高低點振盪預測




高低點振盪預測+/-誤差大於75點或與前日變化大表示進入盤整或新趨勢




(繼續閱讀...)
文章標籤

enthrone 發表在 痞客邦 留言(0) 人氣(0)

  • 個人分類:股市走勢圖
▲top
  • 4月 02 週二 201321:07
  • 股市走勢圖20130402反彈無力續下殺

長線看法中空轉長空




外資現貨買超約35.4億



期貨未平倉量多單水位增至9400多口


今日大盤開低後拉高至平盤上


尾盤再殺回平盤附近


成交量持續萎靡


手中空單續抱




藍色虛線為指標


藍色實線為指標的移動平均線(週期2)




粉色實線為5(日,週,月)平均線




目前週線站上指標但跌破5週均線




月線站上指標和5月均線



日線跌破指標但站上5日均線


大盤日線



大盤週線



大盤月線



台股期貨未平倉



台指選擇權未平倉




三大法人現貨買賣超




大盤高低點振盪預測




高低點振盪預測+/-誤差大於75點或與前日變化大表示進入盤整或新趨勢




(繼續閱讀...)
文章標籤

enthrone 發表在 痞客邦 留言(0) 人氣(1)

  • 個人分類:股市走勢圖
▲top
  • 4月 01 週一 201321:22
  • 股市走勢圖20130401反彈無力續下殺

長線看法中空轉長空




外資現貨買超約29.4億



期貨未平倉量多單水位降至9000多口


今日大盤開高後振盪一路走低小跌


成交量持續萎靡


手中空單續抱




藍色虛線為指標


藍色實線為指標的移動平均線(週期2)




粉色實線為5(日,週,月)平均線




目前週線跌破指標和5週均線




月線站上指標和5月均線



日線跌破指標但站上5日均線


大盤日線



大盤週線



大盤月線



台股期貨未平倉



台指選擇權未平倉




三大法人現貨買賣超




大盤高低點振盪預測 




高低點振盪預測+/-誤差大於75點或與前日變化大表示進入盤整或新趨勢




(繼續閱讀...)
文章標籤

enthrone 發表在 痞客邦 留言(0) 人氣(1)

  • 個人分類:股市走勢圖
▲top
  • 3月 30 週六 201323:56
  • 股市走勢圖20130329反彈無力續下殺

長線看法中空轉長空




外資現貨轉買超約35億



期貨未平倉量多單水位增至10000多口


今日大盤開高後狹幅振盪


尾盤走高收高


今日開始漲幅增大企圖回補缺口


但成交量仍無法有效放大


上檔壓力仍重


手中空單續抱




藍色虛線為指標


藍色實線為指標的移動平均線(週期2)




粉色實線為5(日,週,月)平均線




目前週線站上指標但跌破5週均線




月線站上指標和5月均線



日線站上指標和5日均線


大盤日線



大盤週線



大盤月線



台股期貨未平倉



台指選擇權未平倉




三大法人現貨買賣超




大盤高低點振盪預測




高低點振盪預測+/-誤差大於75點或與前日變化大表示進入盤整或新趨勢




(繼續閱讀...)
文章標籤

enthrone 發表在 痞客邦 留言(0) 人氣(0)

  • 個人分類:股市走勢圖
▲top
  • 3月 29 週五 201303:24
  • 股市走勢圖20130328反彈無力續下殺

長線看法中空轉長空




外資現貨轉賣超約11.9億



期貨未平倉量多單水位降至5800多口


今日大盤開平盤附近後


振盪走低拉尾盤小跌


今日摩台結算向上測缺口


同時也向下測缺口


成交量仍無法有效放大


手中空單續抱




藍色虛線為指標


藍色實線為指標的移動平均線(週期2)




粉色實線為5(日,週,月)平均線




目前週線跌破指標和5週均線




月線站上指標和5月均線



日線跌破指標但站上5日均線


大盤日線



大盤週線



大盤月線



台股期貨未平倉



台指選擇權未平倉




三大法人現貨買賣超




大盤高低點振盪預測




高低點振盪預測+/-誤差大於75點或與前日變化大表示進入盤整或新趨勢




(繼續閱讀...)
文章標籤

enthrone 發表在 痞客邦 留言(0) 人氣(0)

  • 個人分類:股市走勢圖
▲top
  • 3月 27 週三 201322:15
  • 股市走勢圖20130327反彈無力續下殺

長線看法中空轉長空




外資現貨轉買超約14.9億



期貨未平倉量多單水位上升至5900多口


今日大盤開高後狹幅振盪收小高


成交量仍無法有效放大


手中空單續抱




藍色虛線為指標


藍色實線為指標的移動平均線(週期2)




粉色實線為5(日,週,月)平均線




目前週線跌破指標和5週均線




月線站上指標和5月均線



日線站上指標和5日均線


大盤日線



大盤週線



大盤月線



台股期貨未平倉



台指選擇權未平倉




三大法人現貨買賣超




大盤高低點振盪預測




高低點振盪預測+/-誤差大於75點或與前日變化大表示進入盤整或新趨勢




(繼續閱讀...)
文章標籤

enthrone 發表在 痞客邦 留言(0) 人氣(0)

  • 個人分類:股市走勢圖
▲top
  • 3月 25 週一 201321:47
  • 股市走勢圖20130325反彈無力續下殺

長線看法中空轉長空




外資現貨轉超約15.1億



期貨未平倉量多單水位上升至5100多口


今日大盤開高後狹幅振盪


成交量繼續呈現萎縮


7927缺口不補2日內反彈就會結束


手中空單續抱




藍色虛線為指標


藍色實線為指標的移動平均線(週期2)




粉色實線為5(日,週,月)平均線




目前週線跌破指標和5週均線




月線站上指標和5月均線



日線站上指標和5日均線


大盤日線



大盤週線



大盤月線



台股期貨未平倉



台指選擇權未平倉




三大法人現貨買賣超




大盤高低點振盪預測




高低點振盪預測+/-誤差大於75點或與前日變化大表示進入盤整或新趨勢




(繼續閱讀...)
文章標籤

enthrone 發表在 痞客邦 留言(0) 人氣(0)

  • 個人分類:股市走勢圖
▲top
  • 3月 24 週日 201323:07
  • 股市走勢圖20130322反彈無力續下殺

長線看法中空轉長空




外資現貨賣超約25.7億



期貨未平倉量多單水位上升至4000多口


今日大盤開高後平盤上振盪殺尾盤


成交量仍然呈現萎縮


手中空單續抱




藍色虛線為指標


藍色實線為指標的移動平均線(週期2)




粉色實線為5(日,週,月)平均線




目前週線跌破指標和5週均線




月線跌破指標但站上5月均線



日線跌破指標和5日均線


大盤日線



大盤週線



大盤月線



台股期貨未平倉



台指選擇權未平倉




三大法人現貨買賣超




大盤高低點振盪預測




高低點振盪預測+/-誤差大於75點或與前日變化大表示進入盤整或新趨勢




(繼續閱讀...)
文章標籤

enthrone 發表在 痞客邦 留言(0) 人氣(0)

  • 個人分類:股市走勢圖
▲top
  • 3月 21 週四 201322:46
  • 股市走勢圖20130321反彈無力續下殺

長線看法中空轉長空




外資現貨賣超約45.6億



期貨未平倉量多單水位上升至2100多口


今日大盤開高後平盤上振盪殺尾盤


成交量繼續縮小


盤中買進4月份7700賣權1口


其餘空單續抱




藍色虛線為指標


藍色實線為指標的移動平均線(週期2)




粉色實線為5(日,週,月)平均線




目前週線跌破指標和5週均線




月線跌破指標但站上5月均線



日線跌破指標和5日均線


大盤日線



大盤週線



大盤月線



台股期貨未平倉



台指選擇權未平倉




三大法人現貨買賣超




大盤高低點振盪預測




高低點振盪預測+/-誤差大於75點或與前日變化大表示進入盤整或新趨勢


期貨對帳單



期貨庫存





(繼續閱讀...)
文章標籤

enthrone 發表在 痞客邦 留言(0) 人氣(2)

  • 個人分類:股市走勢圖
▲top
«1...23242558»

個人資訊

enthrone
暱稱:
enthrone
分類:
財經政論
好友:
累積中
地區:

文章分類

  • 指標使用方法 (1)
  • 影分身 (1)
  • 股市走勢圖 (576)
  • 未分類文章 (1)

最新文章

  • 股市走勢圖20140421九千大關近在咫尺
  • 股市走勢圖20140418九千大關近在咫尺
  • 股市走勢圖20140417九千大關近在咫尺
  • 股市走勢圖20140416期指結算後外資多單水位依然偏高
  • 股市走勢圖20140414盤整至少到期貨結算
  • 股市走勢圖20140327又進入壓力區
  • 股市走勢圖20140326又進入壓力區
  • 股市走勢圖20140325修正完畢大盤止穩
  • 股市走勢圖20140324政府護盤支撐
  • 股市走勢圖20140321弱勢盤整

熱門文章

  • (5)股市走勢圖20111104
  • (0)股市走勢圖20111107
  • (1)股市走勢圖20111108不宜輕舉妄動的盤
  • (2)股市走勢圖20111109空方小勝
  • (1)股市走勢圖20111110短線要再翻多有難度
  • (9)股市走勢圖20111111保留實力為宜
  • (1)股市走勢圖20111114短多但接近11月份期指結算變數多
  • (4)股市走勢圖20111115繼續盤整還是風雨前的寧靜
  • (7)股市走勢圖20111116多頭有點危險
  • (6)股市走勢圖20111117多頭仍不夠強

文章精選

文章搜尋

動態訂閱

誰來我家

參觀人氣

  • 本日人氣:
  • 累積人氣: