PIXNET Logo登入

股市一條龍 量能分析系統

跳到主文

這裡有我個人自創的指標股市分析圖可以預測走勢, 提供給大家參考.

部落格全站分類:財經政論

  • 相簿
  • 部落格
  • 留言
  • 名片
  • 4月 24 週三 201302:16
  • 股市走勢圖20130423回測缺口

長線看法中空轉長空




外資現貨轉為賣超約27.1億



期貨未平倉量多單水位降為14000多口


今日大盤開低振盪走低


成交量回到膠著狀態


短線上最近的缺口已經開始回補


手中空單續抱




藍色虛線為指標


藍色實線為指標的移動平均線(週期2)




粉色實線為5(日,週,月)平均線




目前週線站上指標和5週均線




月線站上指標和5月均線



日線站上指標和5日均線


大盤日線



大盤週線



大盤月線



台股期貨未平倉



台指選擇權未平倉




三大法人現貨買賣超




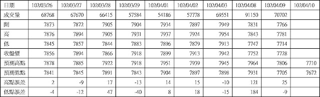
大盤高低點振盪預測




高低點振盪預測+/-誤差大於75點或與前日變化大表示進入盤整或新趨勢




(繼續閱讀...)
文章標籤

enthrone 發表在 痞客邦 留言(0) 人氣(1)

  • 個人分類:股市走勢圖
▲top
  • 4月 22 週一 201322:56
  • 股市走勢圖20130422大漲後遇壓易拉回

長線看法中空轉長空




外資現貨轉為買超約37.9億



期貨未平倉量多單水位降為15500多口


今日大盤開高後


一路振盪走低尾盤小拉收小漲


成交量又縮回700億左右


短線出現2個跳空缺口


大漲後遇壓易拉回


第1個缺口可能很快就會回補


手中空單續抱




藍色虛線為指標


藍色實線為指標的移動平均線(週期2)




粉色實線為5(日,週,月)平均線




目前週線站上指標和5週均線




月線站上指標和5月均線



日線站上指標和5日均線


大盤日線



大盤週線



大盤月線



台股期貨未平倉



台指選擇權未平倉




三大法人現貨買賣超




大盤高低點振盪預測




高低點振盪預測+/-誤差大於75點或與前日變化大表示進入盤整或新趨勢




(繼續閱讀...)
文章標籤

enthrone 發表在 痞客邦 留言(0) 人氣(0)

  • 個人分類:股市走勢圖
▲top
  • 4月 21 週日 201319:04
  • 股市走勢圖20130419短線出現報復性反彈

長線看法中空轉長空




外資現貨轉為買超約70億



期貨未平倉量多單水位增為17900多口


今日大盤開高後


一路走高大漲百點以上


成交量急速放大到800億以上


短線急漲突然放量


下星期拉回機率高


手中空單續抱




藍色虛線為指標


藍色實線為指標的移動平均線(週期2)




粉色實線為5(日,週,月)平均線




目前週線站上指標和5週均線




月線站上指標和5月均線



日線站上指標和5日均線


大盤日線



大盤週線



大盤月線



台股期貨未平倉



台指選擇權未平倉




三大法人現貨買賣超




大盤高低點振盪預測




高低點振盪預測+/-誤差大於75點或與前日變化大表示進入盤整或新趨勢




(繼續閱讀...)
文章標籤

enthrone 發表在 痞客邦 留言(0) 人氣(3)

  • 個人分類:股市走勢圖
▲top
  • 4月 19 週五 201300:46
  • 股市走勢圖20130418短線反彈尾聲重回跌勢

長線看法中空轉長空




外資現貨賣超約90億



期貨未平倉量多單水位增為7500多口


今日大盤開低後拉回平盤附近狹幅振盪


成交量繼續呈現膠著


手中空單續抱




藍色虛線為指標


藍色實線為指標的移動平均線(週期2)




粉色實線為5(日,週,月)平均線




目前週線跌破指標和5週均線




月線跌破指標和5月均線



日線站上指標但跌破5日均線


大盤日線



大盤週線



大盤月線



台股期貨未平倉



台指選擇權未平倉




三大法人現貨買賣超




大盤高低點振盪預測




高低點振盪預測+/-誤差大於75點或與前日變化大表示進入盤整或新趨勢




(繼續閱讀...)
文章標籤

enthrone 發表在 痞客邦 留言(0) 人氣(2)

  • 個人分類:股市走勢圖
▲top
  • 4月 18 週四 201300:24
  • 股市走勢圖20130417短線反彈尾聲重回跌勢

長線看法中空轉長空




外資現貨賣超約30.2億



期貨未平倉量多單水位增為2800多口


今日大盤開盤後在平盤附近狹幅振盪


成交量繼續呈現膠著


盤中買進5月份7600賣權2口


其餘空單續抱




藍色虛線為指標


藍色實線為指標的移動平均線(週期2)




粉色實線為5(日,週,月)平均線




目前週線跌破指標和5週均線




月線跌破指標和5月均線



日線站上指標但跌破5日均線


大盤日線



大盤週線



大盤月線



台股期貨未平倉



台指選擇權未平倉




三大法人現貨買賣超




大盤高低點振盪預測




高低點振盪預測+/-誤差大於75點或與前日變化大表示進入盤整或新趨勢


期貨對帳單



期貨庫存





(繼續閱讀...)
文章標籤

enthrone 發表在 痞客邦 留言(0) 人氣(1)

  • 個人分類:股市走勢圖
▲top
  • 4月 16 週二 201318:55
  • 股市走勢圖20130416短線反彈尾聲重回跌勢

長線看法中空轉長空




外資現貨賣超約16.3億



期貨未平倉量多單水位降為約1400多口


今日大盤開低後


一路振盪走高小漲


成交量繼續呈現膠著


手中空單續抱




藍色虛線為指標


藍色實線為指標的移動平均線(週期2)




粉色實線為5(日,週,月)平均線




目前週線跌破指標和5週均線




月線跌破指標和5月均線



日線跌破指標但站上5日均線


大盤日線



大盤週線



大盤月線



台股期貨未平倉



台指選擇權未平倉




三大法人現貨買賣超




大盤高低點振盪預測




高低點振盪預測+/-誤差大於75點或與前日變化大表示進入盤整或新趨勢




(繼續閱讀...)
文章標籤

enthrone 發表在 痞客邦 留言(0) 人氣(0)

  • 個人分類:股市走勢圖
▲top
  • 4月 16 週二 201301:46
  • 股市走勢圖20130415短線反彈尾聲重回跌勢

長線看法中空轉長空




外資現貨賣超約42.3億



期貨未平倉量多單水位增為約3700多口


今日大盤開小低盤後


盤中一路拉高回平盤上


接著振盪走低收低


成交量呈現膠著


手中空單續抱




藍色虛線為指標


藍色實線為指標的移動平均線(週期2)




粉色實線為5(日,週,月)平均線




目前週線跌破指標和5週均線




月線跌破指標和5月均線



日線跌破指標和5日均線


大盤日線



大盤週線



大盤月線



台股期貨未平倉



台指選擇權未平倉




三大法人現貨買賣超




大盤高低點振盪預測




高低點振盪預測+/-誤差大於75點或與前日變化大表示進入盤整或新趨勢




(繼續閱讀...)
文章標籤

enthrone 發表在 痞客邦 留言(0) 人氣(0)

  • 個人分類:股市走勢圖
▲top
  • 4月 14 週日 201316:10
  • 股市走勢圖20130412短線反彈尾聲重回跌勢

長線看法中空轉長空




外資現貨轉為賣超約14.2億



期貨未平倉量多單水位增為約300多口


今日大盤開平盤後振盪走低收低小跌


成交量變化不大仍處弱勢


短線反彈進入尾聲將重回跌勢


手中空單續抱




藍色虛線為指標


藍色實線為指標的移動平均線(週期2)




粉色實線為5(日,週,月)平均線




目前週線跌破指標和5週均線




月線跌破指標和5月均線



日線站上指標和5日均線


大盤日線



大盤週線



大盤月線



台股期貨未平倉



台指選擇權未平倉




三大法人現貨買賣超




大盤高低點振盪預測




高低點振盪預測+/-誤差大於75點或與前日變化大表示進入盤整或新趨勢




(繼續閱讀...)
文章標籤

enthrone 發表在 痞客邦 留言(0) 人氣(3)

  • 個人分類:股市走勢圖
▲top
  • 4月 12 週五 201305:46
  • 股市走勢圖20130411短線可能反彈但跌勢未止

長線看法中空轉長空




外資現貨轉為買超約13.5億



期貨未平倉量空單水位轉為多單約100多口


今日大盤開高後盤中拉高振盪走高收高


成交量略為放大


今日反彈遇壓未來可能重回跌勢


盤中加空1口5月份小指


其餘手中空單續抱




藍色虛線為指標


藍色實線為指標的移動平均線(週期2)




粉色實線為5(日,週,月)平均線




目前週線跌破指標和5週均線




月線跌破指標但站上5月均線



日線站上指標和5日均線


大盤日線



大盤週線



大盤月線



台股期貨未平倉



台指選擇權未平倉




三大法人現貨買賣超




大盤高低點振盪預測




高低點振盪預測+/-誤差大於75點或與前日變化大表示進入盤整或新趨勢


期貨對帳單



期貨庫存





(繼續閱讀...)
文章標籤

enthrone 發表在 痞客邦 留言(0) 人氣(2)

  • 個人分類:股市走勢圖
▲top
  • 4月 09 週二 201321:34
  • 股市走勢圖20130409短線可能反彈但跌勢未止

長線看法中空轉長空




外資現貨賣超約65.1億



期貨未平倉量空單水位降至8800多口


今日大盤開高振盪走低收小跌


成交量再度收縮


短線可能反彈但跌勢未止


手中空單續抱




藍色虛線為指標


藍色實線為指標的移動平均線(週期2)




粉色實線為5(日,週,月)平均線




目前週線跌破指標和5週均線




月線跌破指標和5月均線



日線跌破指標和5日均線


大盤日線



大盤週線



大盤月線



台股期貨未平倉



台指選擇權未平倉




三大法人現貨買賣超




大盤高低點振盪預測




高低點振盪預測+/-誤差大於75點或與前日變化大表示進入盤整或新趨勢




(繼續閱讀...)
文章標籤

enthrone 發表在 痞客邦 留言(0) 人氣(1)

  • 個人分類:股市走勢圖
▲top
«1...22232458»

個人資訊

enthrone
暱稱:
enthrone
分類:
財經政論
好友:
累積中
地區:

文章分類

  • 指標使用方法 (1)
  • 影分身 (1)
  • 股市走勢圖 (576)
  • 未分類文章 (1)

最新文章

  • 股市走勢圖20140421九千大關近在咫尺
  • 股市走勢圖20140418九千大關近在咫尺
  • 股市走勢圖20140417九千大關近在咫尺
  • 股市走勢圖20140416期指結算後外資多單水位依然偏高
  • 股市走勢圖20140414盤整至少到期貨結算
  • 股市走勢圖20140327又進入壓力區
  • 股市走勢圖20140326又進入壓力區
  • 股市走勢圖20140325修正完畢大盤止穩
  • 股市走勢圖20140324政府護盤支撐
  • 股市走勢圖20140321弱勢盤整

熱門文章

  • (5)股市走勢圖20111104
  • (0)股市走勢圖20111107
  • (1)股市走勢圖20111108不宜輕舉妄動的盤
  • (2)股市走勢圖20111109空方小勝
  • (1)股市走勢圖20111110短線要再翻多有難度
  • (9)股市走勢圖20111111保留實力為宜
  • (1)股市走勢圖20111114短多但接近11月份期指結算變數多
  • (4)股市走勢圖20111115繼續盤整還是風雨前的寧靜
  • (7)股市走勢圖20111116多頭有點危險
  • (6)股市走勢圖20111117多頭仍不夠強

文章精選

文章搜尋

動態訂閱

誰來我家

參觀人氣

  • 本日人氣:
  • 累積人氣: