長線看法中空轉長空

外資現貨買超約71.5億

期貨未平倉量多單水位小降至7400多口

大盤今日開高振盪走高收高

期貨同步拉高結算

7800點的壓力近在眼前

尾盤進11月7200賣權2口

其餘賣權續抱

藍色虛線為指標

藍色實線為指標的移動平均線(週期2)

粉色實線為5(日,週,月)平均線

目前週線站上指標和5週均線

月線站上指標和5月均線

日線站上指標和5日均線

大盤日線

大盤週線

大盤月線

台股期貨未平倉

台指選擇權未平倉

三大法人現貨買賣超

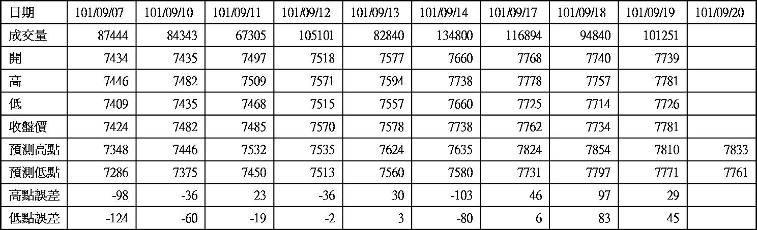
大盤高低點振盪預測

高低點振盪預測+/-誤差大於75點或與前日變化大表示進入盤整或新趨勢

期貨庫存

文章標籤
全站熱搜
創作者介紹
創作者 enthrone 的頭像
enthrone

股市一條龍 量能分析系統

enthrone 發表在 痞客邦 留言(0) 人氣(1)