PIXNET Logo登入

股市一條龍 量能分析系統

跳到主文

這裡有我個人自創的指標股市分析圖可以預測走勢, 提供給大家參考.

部落格全站分類:財經政論

  • 相簿
  • 部落格
  • 留言
  • 名片
  • 1月 12 週六 201320:14
  • 股市走勢圖20130111反彈皆空點

長線看法中空轉長空




外資現貨買超約30.7億



期貨未平倉量多單水位轉為空單約4100多口


今日大盤開高振盪走低回平盤附近


成交量縮回千億以下


無法放量續攻過高


多頭下星期有點危險



手中空單續抱



藍色虛線為指標


藍色實線為指標的移動平均線(週期2)




粉色實線為5(日,週,月)平均線




目前週線站上指標和5週均線




月線站上指標和5月均線



日線站上指標和5日均線


大盤日線



大盤週線



大盤月線



台股期貨未平倉



台指選擇權未平倉




三大法人現貨買賣超




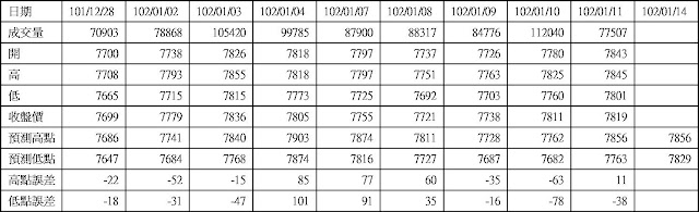
大盤高低點振盪預測




高低點振盪預測+/-誤差大於75點或與前日變化大表示進入盤整或新趨勢




(繼續閱讀...)
文章標籤

enthrone 發表在 痞客邦 留言(0) 人氣(0)

  • 個人分類:股市走勢圖
▲top
  • 1月 10 週四 201322:25
  • 股市走勢圖20130110反彈皆空點

長線看法中空轉長空




外資現貨轉為買超約87.7億



期貨未平倉量多單水位上升至2200多口


今日大盤開高振盪收高


成交量回到千億以上


目前在回測7855的高點


如果可以站上後再補量上攻對多頭更有意義


相反如果未過高就拉回


反而應該注意今天是否在出貨


盤中買進1月份7900賣權2口



其餘空單續抱



藍色虛線為指標


藍色實線為指標的移動平均線(週期2)




粉色實線為5(日,週,月)平均線




目前週線站上指標和5週均線




月線站上指標和5月均線



日線站上指標和5日均線


大盤日線



大盤週線



大盤月線



台股期貨未平倉



台指選擇權未平倉




三大法人現貨買賣超




大盤高低點振盪預測




高低點振盪預測+/-誤差大於75點或與前日變化大表示進入盤整或新趨勢


期貨對帳單



期貨庫存





(繼續閱讀...)
文章標籤

enthrone 發表在 痞客邦 留言(0) 人氣(0)

  • 個人分類:股市走勢圖
▲top
  • 1月 09 週三 201323:09
  • 股市走勢圖20130109反彈皆空點

長線看法中空轉長空




外資現貨賣超約36億



期貨未平倉量空單水位轉為多單1000多口


今日大盤開低後再快速拉高振盪收小高


成交量依舊不足千億


今日先小彈一下


後續不補量就會開始急速下挫


將一反過去緩跌緩漲的走勢


慎防月線由紅轉黑


盤中買進1月份7900賣權1口



其餘空單續抱



藍色虛線為指標


藍色實線為指標的移動平均線(週期2)




粉色實線為5(日,週,月)平均線




目前週線站上指標和5週均線




月線站上指標和5月均線



日線跌破指標和5日均線


大盤日線



大盤週線



大盤月線



台股期貨未平倉



台指選擇權未平倉




三大法人現貨買賣超




大盤高低點振盪預測




高低點振盪預測+/-誤差大於75點或與前日變化大表示進入盤整或新趨勢


期貨對帳單



期貨庫存





(繼續閱讀...)
文章標籤

enthrone 發表在 痞客邦 留言(0) 人氣(2)

  • 個人分類:股市走勢圖
▲top
  • 1月 09 週三 201304:28
  • 股市走勢圖20130108反彈皆空點


長線看法中空轉長空



外資現貨賣超約68.4億



期貨未平倉量空單水位下降至5000多口


今日大盤又再度開低後狹幅振盪收低


成交量依舊不足千億


連續3天緩跌最是令人無防


明日01/09有機會反彈


但彈起來應該放空



其餘空單續抱



藍色虛線為指標


藍色實線為指標的移動平均線(週期2)




粉色實線為5(日,週,月)平均線




目前週線站上指標和5週均線




月線站上指標和5月均線



日線跌破指標和5日均線


大盤日線



大盤週線



大盤月線



台股期貨未平倉



台指選擇權未平倉




三大法人現貨買賣超




大盤高低點振盪預測




高低點振盪預測+/-誤差大於75點或與前日變化大表示進入盤整或新趨勢




(繼續閱讀...)
文章標籤

enthrone 發表在 痞客邦 留言(0) 人氣(0)

  • 個人分類:股市走勢圖
▲top
  • 1月 07 週一 201318:58
  • 股市走勢圖20130107反彈皆空點


長線看法中空轉長空



外資現貨賣超約57.5億



期貨未平倉量空單水位上升至5800多口


今日大盤再度開低後狹幅振盪收低


成交量開始萎縮


無法放量上攻


極有可能在假突破後


現在開始真拉回



其餘空單續抱



藍色虛線為指標


藍色實線為指標的移動平均線(週期2)




粉色實線為5(日,週,月)平均線




目前週線站上指標和5週均線




月線站上指標和5月均線



日線跌破指標和5日均線


大盤日線



大盤週線



大盤月線



台股期貨未平倉



台指選擇權未平倉




三大法人現貨買賣超




大盤高低點振盪預測




高低點振盪預測+/-誤差大於75點或與前日變化大表示進入盤整或新趨勢




(繼續閱讀...)
文章標籤

enthrone 發表在 痞客邦 留言(0) 人氣(0)

  • 個人分類:股市走勢圖
▲top
  • 1月 06 週日 201320:53
  • 股市走勢圖20130104反彈皆空點


長線看法中空轉長空



外資現貨轉為賣超約62.7億



期貨未平倉量空單水位上升至1500多口


今日大盤開低後狹幅振盪收低


成交量維持千億左右


能否放量上攻是多頭的關鍵


否則可能假突破後真拉回



其餘空單續抱



藍色虛線為指標


藍色實線為指標的移動平均線(週期2)




粉色實線為5(日,週,月)平均線




目前週線站上指標和5週均線




月線站上指標和5月均線



日線站上指標和5日均線


大盤日線



大盤週線



大盤月線



台股期貨未平倉



台指選擇權未平倉




三大法人現貨買賣超




大盤高低點振盪預測




高低點振盪預測+/-誤差大於75點或與前日變化大表示進入盤整或新趨勢




(繼續閱讀...)
文章標籤

enthrone 發表在 痞客邦 留言(0) 人氣(0)

  • 個人分類:股市走勢圖
▲top
  • 1月 03 週四 201321:55
  • 股市走勢圖20130103反彈皆空點


長線看法中空轉長空



外資現貨買超約11億



期貨未平倉量多單水位轉為空單1100多口


今日大盤開高後狹幅振盪收高


成交量首見1千億


放量漲幅有限要注意是否換手成功或是主力出貨


盤中平倉1月份7800買權1口



其餘空單續抱



藍色虛線為指標


藍色實線為指標的移動平均線(週期2)




粉色實線為5(日,週,月)平均線




目前週線站上指標和5週均線




月線站上指標和5月均線



日線站上指標和5日均線


大盤日線



大盤週線



大盤月線



台股期貨未平倉



台指選擇權未平倉




三大法人現貨買賣超




大盤高低點振盪預測




高低點振盪預測+/-誤差大於75點或與前日變化大表示進入盤整或新趨勢


期貨對帳單



期貨庫存





(繼續閱讀...)
文章標籤

enthrone 發表在 痞客邦 留言(0) 人氣(2)

  • 個人分類:股市走勢圖
▲top
  • 1月 02 週三 201321:50
  • 股市走勢圖20130102反彈皆空點


長線看法中空轉長空



外資現貨買超約64.8億



期貨未平倉量多單水位上升至2700多口


大盤今日開高後盤中隨國際股市走高大漲


美國財政懸崖暫時解除


國際股市上演慶祝行情


盤中平倉週選擇權7700賣權1口



其餘多空對鎖單續抱



藍色虛線為指標


藍色實線為指標的移動平均線(週期2)




粉色實線為5(日,週,月)平均線




目前週線站上指標和5週均線




月線站上指標和5月均線



日線站上指標和5日均線


大盤日線



大盤週線



大盤月線



台股期貨未平倉



台指選擇權未平倉




三大法人現貨買賣超




大盤高低點振盪預測




高低點振盪預測+/-誤差大於75點或與前日變化大表示進入盤整或新趨勢


期貨對帳單



期貨庫存



期貨沖銷明細





(繼續閱讀...)
文章標籤

enthrone 發表在 痞客邦 留言(0) 人氣(3)

  • 個人分類:股市走勢圖
▲top
  • 12月 28 週五 201223:00
  • 股市走勢圖20121228反彈皆空點


長線看法中空轉長空



外資現貨買超約41.4億



期貨未平倉量空單轉為多單100多口


大盤今日開高後在開盤附近小幅振盪至收盤


盤中買進2月份7300賣權1口



其餘多空對鎖單續抱



藍色虛線為指標


藍色實線為指標的移動平均線(週期2)




粉色實線為5(日,週,月)平均線




目前週線站上指標和5週均線




月線站上指標和5月均線



日線站上指標和5日均線


大盤日線



大盤週線



大盤月線



台股期貨未平倉



台指選擇權未平倉




三大法人現貨買賣超




大盤高低點振盪預測




高低點振盪預測+/-誤差大於75點或與前日變化大表示進入盤整或新趨勢


期貨對帳單



期貨庫存





(繼續閱讀...)
文章標籤

enthrone 發表在 痞客邦 留言(0) 人氣(1)

  • 個人分類:股市走勢圖
▲top
  • 12月 27 週四 201222:38
  • 股市走勢圖20121227反彈皆空點


長線看法中空轉長空



外資現貨轉為買超約5.89億



期貨未平倉量空單水位降至100多口


大盤今日平盤附近上下振盪尾盤小拉


多空屏息以待



手中多空對鎖單續抱



藍色虛線為指標


藍色實線為指標的移動平均線(週期2)




粉色實線為5(日,週,月)平均線




目前週線站上指標和5週均線




月線站上指標和5月均線



日線站上指標和5日均線


大盤日線



大盤週線



大盤月線



台股期貨未平倉



台指選擇權未平倉




三大法人現貨買賣超




大盤高低點振盪預測




高低點振盪預測+/-誤差大於75點或與前日變化大表示進入盤整或新趨勢




(繼續閱讀...)
文章標籤

enthrone 發表在 痞客邦 留言(0) 人氣(2)

  • 個人分類:股市走勢圖
▲top
«1...28293058»

個人資訊

enthrone
暱稱:
enthrone
分類:
財經政論
好友:
累積中
地區:

文章分類

  • 指標使用方法 (1)
  • 影分身 (1)
  • 股市走勢圖 (576)
  • 未分類文章 (1)

最新文章

  • 股市走勢圖20140421九千大關近在咫尺
  • 股市走勢圖20140418九千大關近在咫尺
  • 股市走勢圖20140417九千大關近在咫尺
  • 股市走勢圖20140416期指結算後外資多單水位依然偏高
  • 股市走勢圖20140414盤整至少到期貨結算
  • 股市走勢圖20140327又進入壓力區
  • 股市走勢圖20140326又進入壓力區
  • 股市走勢圖20140325修正完畢大盤止穩
  • 股市走勢圖20140324政府護盤支撐
  • 股市走勢圖20140321弱勢盤整

熱門文章

  • (5)股市走勢圖20111104
  • (0)股市走勢圖20111107
  • (1)股市走勢圖20111108不宜輕舉妄動的盤
  • (2)股市走勢圖20111109空方小勝
  • (1)股市走勢圖20111110短線要再翻多有難度
  • (9)股市走勢圖20111111保留實力為宜
  • (1)股市走勢圖20111114短多但接近11月份期指結算變數多
  • (4)股市走勢圖20111115繼續盤整還是風雨前的寧靜
  • (7)股市走勢圖20111116多頭有點危險
  • (6)股市走勢圖20111117多頭仍不夠強

文章精選

文章搜尋

動態訂閱

誰來我家

參觀人氣

  • 本日人氣:
  • 累積人氣: