PIXNET Logo登入

股市一條龍 量能分析系統

跳到主文

這裡有我個人自創的指標股市分析圖可以預測走勢, 提供給大家參考.

部落格全站分類:財經政論

  • 相簿
  • 部落格
  • 留言
  • 名片
  • 6月 26 週三 201323:14
  • 股市走勢圖20130626前方跳空缺口看看補不補

長線看法中空轉長空




外資現貨賣超約21.9億



期貨未平倉量空單水位減為14500多口


今日大盤開高大漲


盤中小拉回後攻高收高


成交量維持在900億左右


前方7898的缺口


明日摩台結算


看看有無機會回補


盤中買進7月份7400賣權4口


其餘空單續抱




藍色虛線為指標


藍色實線為指標的移動平均線(週期2)




粉色實線為5(日,週,月)平均線




目前週線跌破指標和5週均線




月線跌破指標和5月均線



日線站上指標和5日均線


大盤日線



大盤週線



大盤月線



台股期貨未平倉



台指選擇權未平倉




三大法人現貨買賣超




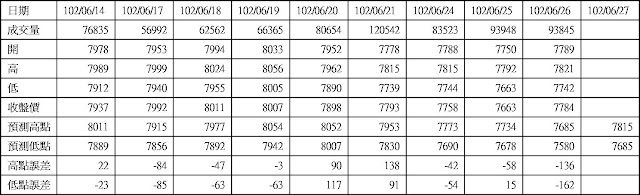
大盤高低點振盪預測




高低點振盪預測+/-誤差大於75點或與前日變化大表示進入盤整或新趨勢


期貨對帳單



期貨庫存





(繼續閱讀...)
文章標籤

enthrone 發表在 痞客邦 留言(0) 人氣(8)

  • 個人分類:股市走勢圖
▲top
  • 6月 25 週二 201322:28
  • 股市走勢圖20130625今天不彈明天彈

長線看法中空轉長空




外資現貨賣超約94.6億



期貨未平倉量空單水位小增仍為16000多口


今日大盤前半場上下劇烈振盪


盤中一路從平盤上殺下到尾盤


成交量放大至900億左右


今天反彈失敗


也許今天不彈明天彈


畢竟證所稅修正案都已經過了


這齣爛戲演夠久了


盤中買進7月份7400賣權4口


其餘空單續抱




藍色虛線為指標


藍色實線為指標的移動平均線(週期2)




粉色實線為5(日,週,月)平均線




目前週線跌破指標和5週均線




月線跌破指標和5月均線



日線跌破指標和5日均線


大盤日線



大盤週線



大盤月線



台股期貨未平倉



台指選擇權未平倉




三大法人現貨買賣超




大盤高低點振盪預測




高低點振盪預測+/-誤差大於75點或與前日變化大表示進入盤整或新趨勢


期貨對帳單



期貨庫存





(繼續閱讀...)
文章標籤

enthrone 發表在 痞客邦 留言(0) 人氣(0)

  • 個人分類:股市走勢圖
▲top
  • 6月 24 週一 201322:54
  • 股市走勢圖20130624大家都說要彈如果不彈呢?

長線看法中空轉長空




外資現貨賣超約170億



期貨未平倉量空單水位增為16000多口


今日大盤開低振盪


盤中一度拉上平盤


最後尾盤再殺下來


成交量縮回到800億左右


這個盤大家都說要彈


如果不彈呢?


手中空單續抱




藍色虛線為指標


藍色實線為指標的移動平均線(週期2)




粉色實線為5(日,週,月)平均線




目前週線跌破指標和5週均線




月線跌破指標和5月均線



日線跌破指標和5日均線


大盤日線



大盤週線



大盤月線



台股期貨未平倉



台指選擇權未平倉




三大法人現貨買賣超




大盤高低點振盪預測




高低點振盪預測+/-誤差大於75點或與前日變化大表示進入盤整或新趨勢




(繼續閱讀...)
文章標籤

enthrone 發表在 痞客邦 留言(0) 人氣(1)

  • 個人分類:股市走勢圖
▲top
  • 6月 23 週日 201319:49
  • 股市走勢圖20130621反彈的機會又來了

長線看法中空轉長空




外資現貨賣超約172億



期貨未平倉量空單水位增為14300多口


今日大盤開低振盪


成交量放大至近1200億左右


大盤來測試前波低點7700


下週反彈的機會又來了


盤中平倉7月份7800賣權3口


另外買進7月份7600賣權6口




藍色虛線為指標


藍色實線為指標的移動平均線(週期2)




粉色實線為5(日,週,月)平均線




目前週線跌破指標和5週均線




月線跌破指標和5月均線



日線跌破指標和5日均線


大盤日線



大盤週線



大盤月線



台股期貨未平倉



台指選擇權未平倉




三大法人現貨買賣超




大盤高低點振盪預測




高低點振盪預測+/-誤差大於75點或與前日變化大表示進入盤整或新趨勢


期貨對帳單



期貨庫存





(繼續閱讀...)
文章標籤

enthrone 發表在 痞客邦 留言(0) 人氣(1)

  • 個人分類:股市走勢圖
▲top
  • 6月 21 週五 201300:05
  • 股市走勢圖20130620該彈不彈持續破底

長線看法中空轉長空




外資現貨賣超約96.7億



期貨未平倉量空單水位增為12000多口


今日大盤開低走低


成交量放大至近800億左右


因柏南克一席暗示QE退場的談話


全球股市重挫


果然沒有所謂"無限"印鈔這回事


大盤即將進入長空


盤中買進7800賣權3口




藍色虛線為指標


藍色實線為指標的移動平均線(週期2)




粉色實線為5(日,週,月)平均線




目前週線跌破指標和5週均線




月線跌破指標和5月均線



日線跌破指標和5日均線


大盤日線



大盤週線



大盤月線



台股期貨未平倉



台指選擇權未平倉




三大法人現貨買賣超




大盤高低點振盪預測




高低點振盪預測+/-誤差大於75點或與前日變化大表示進入盤整或新趨勢


期貨對帳單





(繼續閱讀...)
文章標籤

enthrone 發表在 痞客邦 留言(0) 人氣(0)

  • 個人分類:股市走勢圖
▲top
  • 6月 19 週三 201323:46
  • 股市走勢圖20130619謹慎看待反彈

長線看法中空轉長空




外資現貨賣超約49億



期貨未平倉量空單水位增為8000多口


今日大盤早盤開高後跌回平盤附近狹幅振盪


成交量持續萎縮在600億左右


今日台指結算


標題沒改


因為在電腦當機送修前後狀況差不多


短線又來到反彈的位置


前波8116的缺口有機會回補


同時7月份期現貨逆價差非常大


但這波反彈結束後


大盤持續破底的態勢沒有改變




藍色虛線為指標


藍色實線為指標的移動平均線(週期2)




粉色實線為5(日,週,月)平均線




目前週線跌破指標和5週均線




月線跌破指標和5月均線



日線站上指標和5日均線


大盤日線



大盤週線



大盤月線



台股期貨未平倉



台指選擇權未平倉




三大法人現貨買賣超




大盤高低點振盪預測




高低點振盪預測+/-誤差大於75點或與前日變化大表示進入盤整或新趨勢


期貨沖銷明細





(繼續閱讀...)
文章標籤

enthrone 發表在 痞客邦 留言(0) 人氣(1)

  • 個人分類:股市走勢圖
▲top
  • 5月 30 週四 201304:15
  • 股市走勢圖20130529謹慎看待反彈

長線看法中空轉長空




外資現貨轉為買超約26.7億



期貨未平倉量多單水位增為7600多口


今日大盤開高後狹幅振盪收中紅


成交量放大至800億左右


手中空單續抱




藍色虛線為指標


藍色實線為指標的移動平均線(週期2)




粉色實線為5(日,週,月)平均線




目前週線站上指標和5週均線




月線站上指標和5月均線



日線站上指標和5日均線


大盤日線



大盤週線



大盤月線



台股期貨未平倉



台指選擇權未平倉




三大法人現貨買賣超




大盤高低點振盪預測




高低點振盪預測+/-誤差大於75點或與前日變化大表示進入盤整或新趨勢




(繼續閱讀...)
文章標籤

enthrone 發表在 痞客邦 留言(0) 人氣(0)

  • 個人分類:股市走勢圖
▲top
  • 5月 28 週二 201322:42
  • 股市走勢圖20130528謹慎看待反彈

長線看法中空轉長空




外資現貨賣超約30.2億



期貨未平倉量多單水位減為3600多口


今日大盤平盤附近狹幅振盪


成交量維持低量600億左右


手中空單續抱




藍色虛線為指標


藍色實線為指標的移動平均線(週期2)




粉色實線為5(日,週,月)平均線




目前週線站上指標和5週均線




月線站上指標和5月均線



日線跌破指標和5日均線


大盤日線



大盤週線



大盤月線



台股期貨未平倉



台指選擇權未平倉




三大法人現貨買賣超




大盤高低點振盪預測




高低點振盪預測+/-誤差大於75點或與前日變化大表示進入盤整或新趨勢




(繼續閱讀...)
文章標籤

enthrone 發表在 痞客邦 留言(0) 人氣(0)

  • 個人分類:股市走勢圖
▲top
  • 5月 27 週一 201322:10
  • 股市走勢圖20130527量急縮後反彈

長線看法中空轉長空




外資現貨賣超約14.4億



期貨未平倉量多單水位增為5400多口


今日大盤開盤後先在平盤附近振盪


盤中拉高收中紅


成交量急縮至600億以下


手中空單續抱




藍色虛線為指標


藍色實線為指標的移動平均線(週期2)




粉色實線為5(日,週,月)平均線




目前週線站上指標和5週均線




月線站上指標和5月均線



日線站上指標和5日均線


大盤日線



大盤週線



大盤月線



台股期貨未平倉



台指選擇權未平倉




三大法人現貨買賣超




大盤高低點振盪預測




高低點振盪預測+/-誤差大於75點或與前日變化大表示進入盤整或新趨勢




(繼續閱讀...)
文章標籤

enthrone 發表在 痞客邦 留言(0) 人氣(0)

  • 個人分類:股市走勢圖
▲top
  • 5月 26 週日 201321:57
  • 股市走勢圖20130524慎防資金退潮

長線看法中空轉長空




外資現貨轉為賣超約42.5億



期貨未平倉量多單水位增為2200多口


今日大盤開小高後一路振盪走低


尾盤拉高後小跌


外資終結連續買盤後開始有撤資現象


手中空單續抱




藍色虛線為指標


藍色實線為指標的移動平均線(週期2)




粉色實線為5(日,週,月)平均線




目前週線跌破指標和5週均線




月線站上指標和5月均線



日線跌破指標和5日均線


大盤日線



大盤週線



大盤月線



台股期貨未平倉



台指選擇權未平倉




三大法人現貨買賣超




大盤高低點振盪預測




高低點振盪預測+/-誤差大於75點或與前日變化大表示進入盤整或新趨勢




(繼續閱讀...)
文章標籤

enthrone 發表在 痞客邦 留言(0) 人氣(0)

  • 個人分類:股市走勢圖
▲top
«1...19202158»

個人資訊

enthrone
暱稱:
enthrone
分類:
財經政論
好友:
累積中
地區:

文章分類

  • 指標使用方法 (1)
  • 影分身 (1)
  • 股市走勢圖 (576)
  • 未分類文章 (1)

最新文章

  • 股市走勢圖20140421九千大關近在咫尺
  • 股市走勢圖20140418九千大關近在咫尺
  • 股市走勢圖20140417九千大關近在咫尺
  • 股市走勢圖20140416期指結算後外資多單水位依然偏高
  • 股市走勢圖20140414盤整至少到期貨結算
  • 股市走勢圖20140327又進入壓力區
  • 股市走勢圖20140326又進入壓力區
  • 股市走勢圖20140325修正完畢大盤止穩
  • 股市走勢圖20140324政府護盤支撐
  • 股市走勢圖20140321弱勢盤整

熱門文章

  • (5)股市走勢圖20111104
  • (0)股市走勢圖20111107
  • (1)股市走勢圖20111108不宜輕舉妄動的盤
  • (2)股市走勢圖20111109空方小勝
  • (1)股市走勢圖20111110短線要再翻多有難度
  • (9)股市走勢圖20111111保留實力為宜
  • (1)股市走勢圖20111114短多但接近11月份期指結算變數多
  • (4)股市走勢圖20111115繼續盤整還是風雨前的寧靜
  • (7)股市走勢圖20111116多頭有點危險
  • (6)股市走勢圖20111117多頭仍不夠強

文章精選

文章搜尋

動態訂閱

誰來我家

參觀人氣

  • 本日人氣:
  • 累積人氣: