PIXNET Logo登入

股市一條龍 量能分析系統

跳到主文

這裡有我個人自創的指標股市分析圖可以預測走勢, 提供給大家參考.

部落格全站分類:財經政論

  • 相簿
  • 部落格
  • 留言
  • 名片
  • 7月 25 週四 201304:00
  • 股市走勢圖20130724短線反彈已近尾聲

長線看法中空轉長空
外資現貨買超約35億



期貨未平倉量多單水位約為900多口


今日大盤在平盤附近振盪小跌


成交量縮為800億附近


短線反彈已近尾聲


近期美股道瓊有崩跌疑慮


短線須留意


手中空單續抱


藍色虛線為指標






藍色實線為指標的移動平均線(週期2)




粉色實線為5(日,週,月)平均線




目前週線站上指標和5週均線




月線站上指標和5月均線



日線站上指標和5日均線


大盤日線



大盤週線



大盤月線



台股期貨未平倉



台指選擇權未平倉




三大法人現貨買賣超




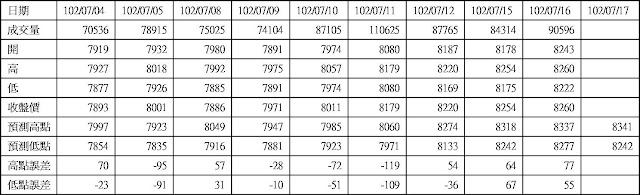
大盤高低點振盪預測




高低點振盪預測+/-誤差大於75點或與前日變化大表示進入盤整或新趨勢




(繼續閱讀...)
文章標籤

enthrone 發表在 痞客邦 留言(0) 人氣(12)

  • 個人分類:股市走勢圖
▲top
  • 7月 23 週二 201322:18
  • 股市走勢圖20130723短線反彈已近尾聲

長線看法中空轉長空
外資現貨轉為買超約107億



期貨未平倉量空單水位轉為多單約為1100多口


今日大盤開高振盪大漲


成交量重新擴增至千億附近


短線反彈已近尾聲


近期美股道瓊有崩跌疑慮


短線須留意


手中空單續抱


藍色虛線為指標






藍色實線為指標的移動平均線(週期2)




粉色實線為5(日,週,月)平均線




目前週線站上指標和5週均線




月線站上指標和5月均線



日線站上指標和5日均線


大盤日線



大盤週線



大盤月線



台股期貨未平倉



台指選擇權未平倉




三大法人現貨買賣超




大盤高低點振盪預測




高低點振盪預測+/-誤差大於75點或與前日變化大表示進入盤整或新趨勢




(繼續閱讀...)
文章標籤

enthrone 發表在 痞客邦 留言(0) 人氣(0)

  • 個人分類:股市走勢圖
▲top
  • 7月 23 週二 201300:11
  • 股市走勢圖20130722大盤向7663推進

長線看法中空轉長空
外資現貨轉為買超約19億



期貨未平倉量空單水位急降為約500多口


今日大盤開高後


平盤上狹幅振盪


成交量急縮回700億附近


近期美股道瓊有崩跌疑慮


短線須留意


盤中買進8月份7900賣權1口


其餘空單續抱


藍色虛線為指標






藍色實線為指標的移動平均線(週期2)




粉色實線為5(日,週,月)平均線




目前週線站上指標和5週均線




月線站上指標和5月均線



日線跌破指標和5日均線


大盤日線



大盤週線



大盤月線



台股期貨未平倉



台指選擇權未平倉




三大法人現貨買賣超




大盤高低點振盪預測




高低點振盪預測+/-誤差大於75點或與前日變化大表示進入盤整或新趨勢


期貨對帳單



期貨庫存





(繼續閱讀...)
文章標籤

enthrone 發表在 痞客邦 留言(0) 人氣(11)

  • 個人分類:股市走勢圖
▲top
  • 7月 21 週日 201323:08
  • 股市走勢圖20130719大盤向7663推進

長線看法中空轉長空
外資現貨轉為賣超約24.8億



期貨未平倉量空單水位急升為約4900多口


今日大盤開低後


一路走低至收盤大跌


成交量擴至千億附近


盤中多檔權值股大跌


包含台積電跌停


另外期交所對於7/18系統異常的說明


只證明一件事


即使電腦沒當機


熟知系統運作規則和漏洞的人


還是一樣有機會擾亂資訊和打暗號


這跟人為破壞監視器紀錄的道理一樣


藍色虛線為指標






藍色實線為指標的移動平均線(週期2)




粉色實線為5(日,週,月)平均線




目前週線跌破指標但站上5週均線




月線跌破指標和5月均線



日線跌破指標和5日均線


大盤日線



大盤週線



大盤月線



台股期貨未平倉



台指選擇權未平倉




三大法人現貨買賣超




大盤高低點振盪預測




高低點振盪預測+/-誤差大於75點或與前日變化大表示進入盤整或新趨勢




(繼續閱讀...)
文章標籤

enthrone 發表在 痞客邦 留言(0) 人氣(3)

  • 個人分類:股市走勢圖
▲top
  • 7月 18 週四 201323:55
  • 股市走勢圖20130718大盤進入解套波高點

長線看法中空轉長空
外資現貨買超約68.1億



期貨未平倉量多單水位轉為空單約600多口


今日大盤平盤附近開出後


在平盤下振盪至收盤


尾盤沒有拉尾盤作價動作


改成疑似當機事件做收


成交量維持在900億附近


大盤進入解套波高點


股票應逢高減碼


但是這波解套波散戶應該沒幾個解套


因為彈起來的幾乎都不是散戶的持股




藍色虛線為指標


藍色實線為指標的移動平均線(週期2)




粉色實線為5(日,週,月)平均線




目前週線站上指標和5週均線




月線站上指標和5月均線



日線跌破指標和5日均線


大盤日線



大盤週線



大盤月線



台股期貨未平倉



台指選擇權未平倉




三大法人現貨買賣超




大盤高低點振盪預測




高低點振盪預測+/-誤差大於75點或與前日變化大表示進入盤整或新趨勢




(繼續閱讀...)
文章標籤

enthrone 發表在 痞客邦 留言(0) 人氣(2)

  • 個人分類:股市走勢圖
▲top
  • 7月 18 週四 201300:46
  • 股市走勢圖20130717大盤進入解套波高點

長線看法中空轉長空
外資現貨買超約77.3億



期貨未平倉量空單水位轉為多單約2300多口


今日大盤開盤後一路在平盤下振盪


尾盤最後一盤又再度拉高到平盤附近


成交量上升到900億附近


今日期貨結算作價行為很可能告一段落


大盤進入解套波高點


股票應逢高減碼


今日盤中買進8月份7800及7900賣權各1口




藍色虛線為指標


藍色實線為指標的移動平均線(週期2)




粉色實線為5(日,週,月)平均線




目前週線站上指標和5週均線




月線站上指標和5月均線



日線站上指標和5日均線


大盤日線



大盤週線



大盤月線



台股期貨未平倉



台指選擇權未平倉




三大法人現貨買賣超




大盤高低點振盪預測




高低點振盪預測+/-誤差大於75點或與前日變化大表示進入盤整或新趨勢


期貨對帳單



期貨沖銷明細



期貨庫存





(繼續閱讀...)
文章標籤

enthrone 發表在 痞客邦 留言(0) 人氣(2)

  • 個人分類:股市走勢圖
▲top
  • 7月 17 週三 201301:40
  • 股市走勢圖20130716大盤進入解套波高點

長線看法中空轉長空
外資現貨買超約64.7億



期貨未平倉量空單水位升為約2700多口


今日大盤開盤後一路在平盤上下振盪


尾盤最後一盤再度出現拉高


成交量維持在800億附近


大盤進入解套波高點


股票應逢高減碼


手中空單續抱




藍色虛線為指標


藍色實線為指標的移動平均線(週期2)




粉色實線為5(日,週,月)平均線




目前週線站上指標和5週均線




月線站上指標和5月均線



日線站上指標和5日均線


大盤日線



大盤週線



大盤月線



台股期貨未平倉



台指選擇權未平倉




三大法人現貨買賣超




大盤高低點振盪預測




高低點振盪預測+/-誤差大於75點或與前日變化大表示進入盤整或新趨勢




(繼續閱讀...)
文章標籤

enthrone 發表在 痞客邦 留言(0) 人氣(2)

  • 個人分類:股市走勢圖
▲top
  • 7月 16 週二 201304:08
  • 股市走勢圖20130715大盤進入解套波高點

長線看法中空轉長空
外資現貨買超約95.4億



期貨未平倉量多單水位轉為空單15口


今日大盤開低後一路在平盤上下劇烈振盪


尾盤最後一盤拉高


四度拉尾盤已成常態


成交量維持在800億附近


大盤進入解套波高點


股票應逢高減碼


手中空單續抱




藍色虛線為指標


藍色實線為指標的移動平均線(週期2)




粉色實線為5(日,週,月)平均線




目前週線站上指標和5週均線




月線站上指標和5月均線



日線站上指標和5日均線


大盤日線



大盤週線



大盤月線



台股期貨未平倉



台指選擇權未平倉




三大法人現貨買賣超




大盤高低點振盪預測




高低點振盪預測+/-誤差大於75點或與前日變化大表示進入盤整或新趨勢




(繼續閱讀...)
文章標籤

enthrone 發表在 痞客邦 留言(0) 人氣(19)

  • 個人分類:股市走勢圖
▲top
  • 7月 14 週日 201320:24
  • 股市走勢圖20130712大盤進入解套波高點

長線看法中空轉長空
外資現貨買超約113億



期貨未平倉量多單水位降為約1500多口


今日大盤開盤後一路在平盤附近振盪


尾盤最後一盤拉高


成交量縮回800億附近


大盤進入解套波高點


股票應逢高減碼


手中空單續抱




藍色虛線為指標


藍色實線為指標的移動平均線(週期2)




粉色實線為5(日,週,月)平均線




目前週線站上指標和5週均線




月線站上指標和5月均線



日線站上指標和5日均線


大盤日線



大盤週線



大盤月線



台股期貨未平倉



台指選擇權未平倉




三大法人現貨買賣超




大盤高低點振盪預測




高低點振盪預測+/-誤差大於75點或與前日變化大表示進入盤整或新趨勢




(繼續閱讀...)
文章標籤

enthrone 發表在 痞客邦 留言(0) 人氣(5)

  • 個人分類:股市走勢圖
▲top
  • 7月 12 週五 201303:33
  • 股市走勢圖20130711大盤進入解套波高點

長線看法中空轉長空
外資現貨買超約187.2億



期貨未平倉量多單水位小降為約3900多口


今日大盤開盤後一路振盪走高收高


成交量放大至1000億附近


大盤進入解套波高點


股票應逢高減碼


手中空單續抱




藍色虛線為指標


藍色實線為指標的移動平均線(週期2)




粉色實線為5(日,週,月)平均線




目前週線站上指標和5週均線




月線站上指標和5月均線



日線站上指標和5日均線


大盤日線



大盤週線



大盤月線



台股期貨未平倉



台指選擇權未平倉




三大法人現貨買賣超




大盤高低點振盪預測




高低點振盪預測+/-誤差大於75點或與前日變化大表示進入盤整或新趨勢




(繼續閱讀...)
文章標籤

enthrone 發表在 痞客邦 留言(0) 人氣(4)

  • 個人分類:股市走勢圖
▲top
«1...17181958»

個人資訊

enthrone
暱稱:
enthrone
分類:
財經政論
好友:
累積中
地區:

文章分類

  • 指標使用方法 (1)
  • 影分身 (1)
  • 股市走勢圖 (576)
  • 未分類文章 (1)

最新文章

  • 股市走勢圖20140421九千大關近在咫尺
  • 股市走勢圖20140418九千大關近在咫尺
  • 股市走勢圖20140417九千大關近在咫尺
  • 股市走勢圖20140416期指結算後外資多單水位依然偏高
  • 股市走勢圖20140414盤整至少到期貨結算
  • 股市走勢圖20140327又進入壓力區
  • 股市走勢圖20140326又進入壓力區
  • 股市走勢圖20140325修正完畢大盤止穩
  • 股市走勢圖20140324政府護盤支撐
  • 股市走勢圖20140321弱勢盤整

熱門文章

  • (5)股市走勢圖20111104
  • (0)股市走勢圖20111107
  • (1)股市走勢圖20111108不宜輕舉妄動的盤
  • (2)股市走勢圖20111109空方小勝
  • (1)股市走勢圖20111110短線要再翻多有難度
  • (9)股市走勢圖20111111保留實力為宜
  • (1)股市走勢圖20111114短多但接近11月份期指結算變數多
  • (4)股市走勢圖20111115繼續盤整還是風雨前的寧靜
  • (7)股市走勢圖20111116多頭有點危險
  • (6)股市走勢圖20111117多頭仍不夠強

文章精選

文章搜尋

動態訂閱

誰來我家

參觀人氣

  • 本日人氣:
  • 累積人氣: