PIXNET Logo登入

股市一條龍 量能分析系統

跳到主文

這裡有我個人自創的指標股市分析圖可以預測走勢, 提供給大家參考.

部落格全站分類:財經政論

  • 相簿
  • 部落格
  • 留言
  • 名片
  • 8月 22 週四 201321:53
  • 股市走勢圖20130822台股隨國際股市回檔

長線看法中空轉長空
外資現貨賣超約107億



期貨未平倉量空單水位減為約11900多口


今日大盤跳空大跌後


一路拉抬至平盤附近收小跌


成交量放大至900多億附近


手中空單續抱


藍色虛線為指標






藍色實線為指標的移動平均線(週期2)




粉色實線為5(日,週,月)平均線




目前週線跌破指標和5週均線




月線跌破指標和5月均線



日線跌破指標和5日均線


大盤日線



大盤週線



大盤月線



台股期貨未平倉



台指選擇權未平倉




三大法人現貨買賣超




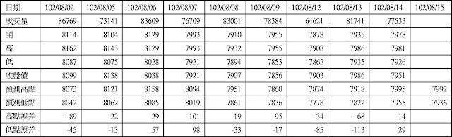
大盤高低點振盪預測




高低點振盪預測+/-誤差大於75點或與前日變化大表示進入盤整或新趨勢




(繼續閱讀...)
文章標籤

enthrone 發表在 痞客邦 留言(0) 人氣(31)

  • 個人分類:股市走勢圖
▲top
  • 8月 21 週三 201317:03
  • 股市走勢圖20130820台股隨國際股市回檔

長線看法中空轉長空
外資現貨賣超約22.3億



期貨未平倉量空單水位增為約18300多口


今日大盤開低後早盤一度拉上平盤


隨即跌破平盤一路下殺


成交量約800多億附近


手中空單續抱


藍色虛線為指標






藍色實線為指標的移動平均線(週期2)




粉色實線為5(日,週,月)平均線




目前週線跌破指標和5週均線




月線跌破指標和5月均線



日線跌破指標和5日均線


大盤日線



大盤週線



大盤月線



台股期貨未平倉



台指選擇權未平倉




三大法人現貨買賣超




大盤高低點振盪預測




高低點振盪預測+/-誤差大於75點或與前日變化大表示進入盤整或新趨勢




(繼續閱讀...)
文章標籤

enthrone 發表在 痞客邦 留言(0) 人氣(2)

  • 個人分類:股市走勢圖
▲top
  • 8月 20 週二 201301:37
  • 股市走勢圖20130819回測8000點失敗

長線看法中空轉長空
外資現貨賣超約40億



期貨未平倉量空單水位增為約15900多口


今日大盤開低後


大部份時間在平盤下振盪收小跌


成交量約700多億附近


手中空單續抱


藍色虛線為指標






藍色實線為指標的移動平均線(週期2)




粉色實線為5(日,週,月)平均線




目前週線跌破指標和5週均線




月線跌破指標和5月均線



日線跌破指標和5日均線


大盤日線



大盤週線



大盤月線



台股期貨未平倉



台指選擇權未平倉




三大法人現貨買賣超




大盤高低點振盪預測




高低點振盪預測+/-誤差大於75點或與前日變化大表示進入盤整或新趨勢




(繼續閱讀...)
文章標籤

enthrone 發表在 痞客邦 留言(0) 人氣(1)

  • 個人分類:股市走勢圖
▲top
  • 8月 18 週日 201319:58
  • 股市走勢圖20130816回測8000點失敗

長線看法中空轉長空
外資現貨賣超約9千萬



期貨未平倉量空單水位減為約12800多口


今日大盤開低後


盤中突然拉高至尾盤壓回小漲


成交量約700多億附近


手中空單續抱


藍色虛線為指標






藍色實線為指標的移動平均線(週期2)




粉色實線為5(日,週,月)平均線




目前週線跌破指標和5週均線




月線跌破指標和5月均線



日線跌破指標和5日均線


大盤日線



大盤週線



大盤月線



台股期貨未平倉



台指選擇權未平倉




三大法人現貨買賣超




大盤高低點振盪預測




高低點振盪預測+/-誤差大於75點或與前日變化大表示進入盤整或新趨勢




(繼續閱讀...)
文章標籤

enthrone 發表在 痞客邦 留言(0) 人氣(0)

  • 個人分類:股市走勢圖
▲top
  • 8月 15 週四 201321:44
  • 股市走勢圖20130815回測8000點失敗

長線看法中空轉長空
外資現貨轉為賣超約70.4億



期貨未平倉量空單水位減為約16400多口


今日大盤開低大跌後


盤中拉抬一波收小跌幅


成交量約700多億附近


手中空單續抱


藍色虛線為指標






藍色實線為指標的移動平均線(週期2)




粉色實線為5(日,週,月)平均線




目前週線跌破指標和5週均線




月線跌破指標和5月均線



日線跌破指標和5日均線


大盤日線



大盤週線



大盤月線



台股期貨未平倉



台指選擇權未平倉




三大法人現貨買賣超




大盤高低點振盪預測




高低點振盪預測+/-誤差大於75點或與前日變化大表示進入盤整或新趨勢




(繼續閱讀...)
文章標籤

enthrone 發表在 痞客邦 留言(0) 人氣(1)

  • 個人分類:股市走勢圖
▲top
  • 8月 14 週三 201321:17
  • 股市走勢圖20130814反彈回測8000點

長線看法中空轉長空
外資現貨轉為賣超約41.4億



期貨未平倉量空單水位增為約16900多口


今日大盤開低振盪


尾盤小幅拉抬


成交量約700多億附近


手中空單續抱


藍色虛線為指標






藍色實線為指標的移動平均線(週期2)




粉色實線為5(日,週,月)平均線




目前週線跌破指標和5週均線




月線跌破指標和5月均線



日線站上指標和5日均線


大盤日線



大盤週線



大盤月線



台股期貨未平倉



台指選擇權未平倉




三大法人現貨買賣超




大盤高低點振盪預測




高低點振盪預測+/-誤差大於75點或與前日變化大表示進入盤整或新趨勢




(繼續閱讀...)
文章標籤

enthrone 發表在 痞客邦 留言(0) 人氣(0)

  • 個人分類:股市走勢圖
▲top
  • 8月 13 週二 201322:30
  • 股市走勢圖20130813反彈回測8000點

長線看法中空轉長空
外資現貨買超約50.3億



期貨未平倉量空單水位減為約11600多口


今日大盤開高走高


成交量放大到約700多億附近


手中空單續抱


藍色虛線為指標






藍色實線為指標的移動平均線(週期2)




粉色實線為5(日,週,月)平均線




目前週線跌破指標和5週均線




月線跌破指標和5月均線



日線站上指標和5日均線


大盤日線



大盤週線



大盤月線



台股期貨未平倉



台指選擇權未平倉




三大法人現貨買賣超




大盤高低點振盪預測




高低點振盪預測+/-誤差大於75點或與前日變化大表示進入盤整或新趨勢




(繼續閱讀...)
文章標籤

enthrone 發表在 痞客邦 留言(0) 人氣(1)

  • 個人分類:股市走勢圖
▲top
  • 8月 12 週一 201323:59
  • 股市走勢圖20130812短線進入跌勢

長線看法中空轉長空
外資現貨轉為買超約4.86億



期貨未平倉量空單水位減為約14100多口


今日大盤開高走高


成交量縮到約600多億附近


手中空單續抱


藍色虛線為指標






藍色實線為指標的移動平均線(週期2)




粉色實線為5(日,週,月)平均線




目前週線跌破指標和5週均線




月線跌破指標和5月均線



日線站上指標但跌破5日均線


大盤日線



大盤週線



大盤月線



台股期貨未平倉



台指選擇權未平倉




三大法人現貨買賣超




大盤高低點振盪預測




高低點振盪預測+/-誤差大於75點或與前日變化大表示進入盤整或新趨勢




(繼續閱讀...)
文章標籤

enthrone 發表在 痞客邦 留言(0) 人氣(0)

  • 個人分類:股市走勢圖
▲top
  • 8月 12 週一 201300:13
  • 股市走勢圖20130809短線進入跌勢

長線看法中空轉長空
外資現貨賣超約81.9億



期貨未平倉量空單水位增為約16200多口


今日大盤開平盤附近後在平盤上下振盪


盤中下殺至平盤下


成交量約700多億附近


盤中買進9月份7400賣權3口


其餘空單續抱


藍色虛線為指標






藍色實線為指標的移動平均線(週期2)




粉色實線為5(日,週,月)平均線




目前週線跌破指標和5週均線




月線跌破指標和5月均線



日線跌破指標和5日均線


大盤日線



大盤週線



大盤月線



台股期貨未平倉



台指選擇權未平倉




三大法人現貨買賣超




大盤高低點振盪預測




高低點振盪預測+/-誤差大於75點或與前日變化大表示進入盤整或新趨勢


期貨對帳單



期貨庫存





(繼續閱讀...)
文章標籤

enthrone 發表在 痞客邦 留言(0) 人氣(1)

  • 個人分類:股市走勢圖
▲top
  • 8月 09 週五 201300:28
  • 股市走勢圖20130808短線進入跌勢

長線看法中空轉長空
外資現貨賣超約118億



期貨未平倉量空單水位增為約15800多口


今日大盤開低後盤中一度拉上平盤


但尾盤又被殺回平盤下


成交量約700多億附近


盤中買進9月份7700賣權1口


其餘空單續抱


藍色虛線為指標






藍色實線為指標的移動平均線(週期2)




粉色實線為5(日,週,月)平均線




目前週線跌破指標和5週均線




月線跌破指標和5月均線



日線跌破指標和5日均線


大盤日線



大盤週線



大盤月線



台股期貨未平倉



台指選擇權未平倉




三大法人現貨買賣超




大盤高低點振盪預測




高低點振盪預測+/-誤差大於75點或與前日變化大表示進入盤整或新趨勢


期貨對帳單



期貨庫存





(繼續閱讀...)
文章標籤

enthrone 發表在 痞客邦 留言(0) 人氣(0)

  • 個人分類:股市走勢圖
▲top
«1...15161758»

個人資訊

enthrone
暱稱:
enthrone
分類:
財經政論
好友:
累積中
地區:

文章分類

  • 指標使用方法 (1)
  • 影分身 (1)
  • 股市走勢圖 (576)
  • 未分類文章 (1)

最新文章

  • 股市走勢圖20140421九千大關近在咫尺
  • 股市走勢圖20140418九千大關近在咫尺
  • 股市走勢圖20140417九千大關近在咫尺
  • 股市走勢圖20140416期指結算後外資多單水位依然偏高
  • 股市走勢圖20140414盤整至少到期貨結算
  • 股市走勢圖20140327又進入壓力區
  • 股市走勢圖20140326又進入壓力區
  • 股市走勢圖20140325修正完畢大盤止穩
  • 股市走勢圖20140324政府護盤支撐
  • 股市走勢圖20140321弱勢盤整

熱門文章

  • (5)股市走勢圖20111104
  • (0)股市走勢圖20111107
  • (1)股市走勢圖20111108不宜輕舉妄動的盤
  • (2)股市走勢圖20111109空方小勝
  • (1)股市走勢圖20111110短線要再翻多有難度
  • (9)股市走勢圖20111111保留實力為宜
  • (1)股市走勢圖20111114短多但接近11月份期指結算變數多
  • (4)股市走勢圖20111115繼續盤整還是風雨前的寧靜
  • (7)股市走勢圖20111116多頭有點危險
  • (6)股市走勢圖20111117多頭仍不夠強

文章精選

文章搜尋

動態訂閱

誰來我家

參觀人氣

  • 本日人氣:
  • 累積人氣: